图结构的通用代码实现
一句话总结
图结构就是 多叉树结构 的延伸。图结构逻辑上由若干节点(Vertex)和边(Edge)构成,我们一般用邻接表、邻接矩阵等方式来存储图。
在树结构中,只允许父节点指向子节点,不存在子节点指向父节点的情况,子节点之间也不会互相链接;而图中没有那么多限制,节点之间可以相互指向,形成复杂的网络结构。
图结构可以对很多复杂的问题进行抽象,产生了很多经典的图论算法,比如 二分图算法、拓扑排序、最短路径算法、最小生成树算法 等,这些都会在后文介绍。
本文主要介绍图的基本概念,以及如何用代码实现图结构。
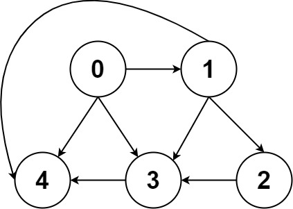
图的逻辑结构
一幅图是由节点 (Vertex) 和边 (Edge) 构成的,逻辑结构如下:

注意看我把「逻辑结构」和「具体实现」分开了。就好比前文 二叉堆的原理和实现 一样,二叉堆的逻辑结构是一棵完全二叉树,但我们实际上用的数组来实现它。
根据图的逻辑结构,我们可以认为每个节点的实现如下:
// 图节点的逻辑结构
type Vertex struct {
id int
neighbors []*Vertex
}
看到这个实现,你有没有很熟悉?它和我们之前说的 多叉树节点 几乎完全一样:
// 基本的 N 叉树节点
type TreeNode struct {
val int
children []*TreeNode
}
所以说,图真的没啥高深的,本质上就是个高级点的多叉树而已,适用于树的 DFS/BFS 遍历算法,全部适用于图。
上面讲解的图结构是「逻辑上的」,具体实现上,我们很少用这个 Vertex 类,而是用邻接表、邻接矩阵来实现图结构。
邻接表和邻接矩阵实现图结构
邻接表和邻接矩阵是图结构的两种实现方法。
比如还是这幅图:

用邻接表和邻接矩阵的存储方式分别如下:

邻接表很直观,我把每个节点 x 的邻居都存到一个列表里,然后把 x 和这个列表映射起来,这样就可以通过一个节点 x 找到它的所有相邻节点。
邻接矩阵则是一个二维布尔数组,我们权且称为 matrix,如果节点 x 和 y 是相连的,那么就把 matrix[x][y] 设为 true(上图中绿色的方格代表 true)。如果想找节点 x 的邻居,去扫一圈 matrix[x][..] 就行了。
如果用代码的形式来表现,邻接表和邻接矩阵大概长这样:
// 邻接表
// graph[x] 存储 x 的所有邻居节点
var graph [][]int
// 邻接矩阵
// matrix[x][y] 记录 x 是否有一条指向 y 的边
var matrix [][]bool
节点类型不是 int 怎么办
上述讲解中,我默认图节点是一个从 0 开始的整数,所以才能存储到邻接表和邻接矩阵中,通过索引访问。
但实际问题中,图节点可能是其他类型,比如字符串、自定义类等,那应该怎么存储呢?
很简单,你再额外使用一个哈希表,把实际节点和整数 id 映射起来,然后就可以用邻接表和邻接矩阵存储整数 id 了。
后面的讲解及习题中,我都会默认图节点是整数 id。
那么,为什么有这两种存储图的方式呢?肯定是因为他们有不同的适用场景。
注意分析两种存储方式的空间复杂度,对于一幅有 V 个节点,E 条边的图,邻接表的空间复杂度是 O(V+E),而邻接矩阵的空间复杂度是 O(V²)。
所以如果一幅图的 E 远小于 V^2(稀疏图),那么邻接表会比邻接矩阵节省空间,反之,如果 E 接近 V^2(稠密图),二者就差不多了。
在后面的图算法和习题中,大多都是稀疏图,所以你会看到邻接表的使用更多一些。
邻接矩阵的最大优势在于,矩阵是一个强有力的数学工具,图的一些隐晦性质可以借助精妙的矩阵运算展现出来。不过本文不准备引入数学内容,所以有兴趣的读者可以自行搜索学习。
这也是为什么一定要把图节点类型转换成整数 id 的原因,不然的话你怎么用矩阵运算呢?
不同种类的图结构
那你可能会问,我们上面说的这个图的模型仅仅是「有向无权图」,不是还有什么加权图,无向图,等等……
其实,这些更复杂的模型都是基于这个最简单的图衍生出来的。
有向加权图怎么实现?很简单呀:
如果是邻接表,我们不仅仅存储某个节点 x 的所有邻居节点,还存储 x 到每个邻居的权重,不就实现加权有向图了吗?
如果是邻接矩阵,matrix[x][y] 不再是布尔值,而是一个 int 值,0 表示没有连接,其他值表示权重,不就变成加权有向图了吗?
如果用代码的形式来表现,大概长这样:
// 邻接表
// graph[x] 存储 x 的所有邻居节点以及对应的权重
// 具体实现不一定非得这样,可以参考后面的通用实现
type Edge struct {
to int
weight int
}
var graph [][]Edge
// 邻接矩阵
// matrix[x][y] 记录 x 指向 y 的边的权重,0 表示不相邻
var matrix [][]int
无向图怎么实现?也很简单,所谓的「无向」,是不是等同于「双向」?

如果连接无向图中的节点 x 和 y,把 matrix[x][y] 和 matrix[y][x] 都变成 true 不就行了;邻接表也是类似的操作,在 x 的邻居列表里添加 y,同时在 y 的邻居列表里添加 x。
把上面的技巧合起来,就变成了无向加权图……
好了,关于图的基本介绍就到这里,现在不管来什么乱七八糟的图,你心里应该都有底了。
下面我写一个通用的类,来实现图的基本操作(增删查改)。
图结构的通用代码实现
基于上面的讲解,我们可以抽象出一个 Graph 接口,来实现图的基本增删查改:
type Graph interface {
// 添加一条边(带权重)
AddEdge(from int, to int, weight int)
// 删除一条边
RemoveEdge(from int, to int)
// 判断两个节点是否相邻
HasEdge(from int, to int) bool
// 返回一条边的权重
Weight(from int, to int) int
// 返回某个节点的所有邻居节点和对应权重
Neighbors(v int) []Edge
// 返回节点总数
Size() int
}
这其实是有向加权图的接口,但基于这个接口可以实现所有不同种类的无向/有向/无权/加权图。下面给出具体代码。
有向加权图(邻接表实现)
我这里给出一个简单的通用实现,后文图论算法教程和习题中可能会用到。其中有一些可以优化的点我写在注释中了。
注意
简单起见,下面给出的代码默认输入的都是合法的,不会出现不合法的节点 id,也不会输入重复的边。
在实际的题目中,我们一般也会先剔除掉不合法的数据,然后再进行建图。
import (
"fmt"
)
// 加权有向图的通用实现(邻接表)
type WeightedDigraph struct {
graph [][]Edge
}
// 存储相邻节点及边的权重
type Edge struct {
to int
weight int
}
func NewWeightedDigraph(n int) *WeightedDigraph {
// 我们这里简单起见,建图时要传入节点总数,这其实可以优化
// 比如把 graph 设置为 map[int][]Edge,就可以动态添加新节点了
graph := make([][]Edge, n)
return &WeightedDigraph{graph: graph}
}
// 增,添加一条带权重的有向边,复杂度 O(1)
func (g *WeightedDigraph) AddEdge(from, to, weight int) {
g.graph[from] = append(g.graph[from], Edge{to: to, weight: weight})
}
// 删,删除一条有向边,复杂度 O(V)
func (g *WeightedDigraph) RemoveEdge(from, to int) {
for i, e := range g.graph[from] {
if e.to == to {
g.graph[from] = append(g.graph[from][:i], g.graph[from][i+1:]...)
break
}
}
}
// 查,判断两个节点是否相邻,复杂度 O(V)
func (g *WeightedDigraph) HasEdge(from, to int) bool {
for _, e := range g.graph[from] {
if e.to == to {
return true
}
}
return false
}
// 查,返回一条边的权重,复杂度 O(V)
func (g *WeightedDigraph) Weight(from, to int) int {
for _, e := range g.graph[from] {
if e.to == to {
return e.weight
}
}
panic("No such edge")
}
// 上面的 HasEdge、RemoveEdge、Weight 方法遍历 List 的行为是可以优化的
// 比如用 map[int]map[int]int 存储邻接表
// 这样就可以避免遍历 List,复杂度就能降到 O(1)
// 查,返回某个节点的所有邻居节点,复杂度 O(1)
func (g *WeightedDigraph) Neighbors(v int) []Edge {
return g.graph[v]
}
func main() {
graph := NewWeightedDigraph(3)
graph.AddEdge(0, 1, 1)
graph.AddEdge(1, 2, 2)
graph.AddEdge(2, 0, 3)
graph.AddEdge(2, 1, 4)
fmt.Println(graph.HasEdge(0, 1)) // true
fmt.Println(graph.HasEdge(1, 0)) // false
for _, edge := range graph.Neighbors(2) {
fmt.Printf("%d -> %d, weight: %d\n", 2, edge.to, edge.weight)
}
// 2 -> 0, weight: 3
// 2 -> 1, weight: 4
graph.RemoveEdge(0, 1)
fmt.Println(graph.HasEdge(0, 1)) // false
}
有向加权图(邻接矩阵实现)
具体请看代码和注释:
// 加权有向图的通用实现(邻接矩阵)
type Edge struct {
To int
Weight int
}
type WeightedDigraph struct {
// 邻接矩阵,matrix[from][to] 存储从节点 from 到节点 to 的边的权重
// 0 表示没有连接
matrix [][]int
}
func NewWeightedDigraph(n int) *WeightedDigraph {
matrix := make([][]int, n)
for i := range matrix {
matrix[i] = make([]int, n)
}
return &WeightedDigraph{matrix}
}
// 增,添加一条带权重的有向边,复杂度 O(1)
func (g *WeightedDigraph) AddEdge(from, to, weight int) {
g.matrix[from][to] = weight
}
// 删,删除一条有向边,复杂度 O(1)
func (g *WeightedDigraph) RemoveEdge(from, to int) {
g.matrix[from][to] = 0
}
// 查,判断两个节点是否相邻,复杂度 O(1)
func (g *WeightedDigraph) HasEdge(from, to int) bool {
return g.matrix[from][to] != 0
}
// 查,返回一条边的权重,复杂度 O(1)
func (g *WeightedDigraph) Weight(from, to int) int {
return g.matrix[from][to]
}
// 查,返回某个节点的所有邻居节点,复杂度 O(V)
func (g *WeightedDigraph) Neighbors(v int) []Edge {
res := []Edge{}
for i := 0; i < len(g.matrix[v]); i++ {
if g.matrix[v][i] > 0 {
res = append(res, Edge{To: i, Weight: g.matrix[v][i]})
}
}
return res
}
func main() {
graph := NewWeightedDigraph(3)
graph.AddEdge(0, 1, 1)
graph.AddEdge(1, 2, 2)
graph.AddEdge(2, 0, 3)
graph.AddEdge(2, 1, 4)
fmt.Println(graph.HasEdge(0, 1)) // true
fmt.Println(graph.HasEdge(1, 0)) // false
for _, edge := range graph.Neighbors(2) {
fmt.Printf("%d -> %d, weight: %d\n", 2, edge.To, edge.Weight)
}
// 2 -> 0, weight: 3
// 2 -> 1, weight: 4
graph.RemoveEdge(0, 1)
fmt.Println(graph.HasEdge(0, 1)) // false
}
有向无权图(邻接表/邻接矩阵实现)
直接复用上面的 WeightedDigraph 类就行,把 addEdge 方法的权重参数默认设置为 1 就行了。比较简单,我就不写代码了。
无向加权图(邻接表/邻接矩阵实现)
无向加权图就等同于双向的有向加权图,所以直接复用上面用邻接表/领接矩阵实现的 WeightedDigraph 类就行了,只是在增加边的时候,要同时添加两条边:
import "fmt"
type WeightedUndigraph struct {
graph *WeightedDigraph
}
// 新建一个带权重的无向图,传入节点数量
func NewWeightedUndigraph(n int) *WeightedUndigraph {
return &WeightedUndigraph{graph: NewWeightedDigraph(n)}
}
// 增,添加一条带权重的无向边
func (wg *WeightedUndigraph) addEdge(from, to, weight int) {
wg.graph.addEdge(from, to, weight)
wg.graph.addEdge(to, from, weight)
}
// 删,删除一条无向边
func (wg *WeightedUndigraph) removeEdge(from, to int) {
wg.graph.removeEdge(from, to)
wg.graph.removeEdge(to, from)
}
// 查,判断两个节点是否相邻
func (wg *WeightedUndigraph) hasEdge(from, to int) bool {
return wg.graph.hasEdge(from, to)
}
// 查,返回一条边的权重
func (wg *WeightedUndigraph) weight(from, to int) int {
return wg.graph.weight(from, to)
}
// 查,返回某个节点的所有邻居节点
func (wg *WeightedUndigraph) neighbors(v int) []*Edge {
return wg.graph.neighbors(v)
}
func main() {
graph := NewWeightedUndigraph(3)
graph.addEdge(0, 1, 1)
graph.addEdge(2, 0, 3)
graph.addEdge(2, 1, 4)
fmt.Println(graph.hasEdge(0, 1)) // true
fmt.Println(graph.hasEdge(1, 0)) // true
for _, edge := range graph.neighbors(2) {
fmt.Printf("2 <-> %d, wight: %d\n", edge.to, edge.weight)
}
// 2 <-> 0, wight: 3
// 2 <-> 1, wight: 4
graph.removeEdge(0, 1)
fmt.Println(graph.hasEdge(0, 1)) // false
fmt.Println(graph.hasEdge(1, 0)) // false
}
无向无权图(邻接表/邻接矩阵实现)
直接复用上面的 WeightedUndigraph 类就行,把 addEdge 方法的权重参数默认设置为 1 就行了。比较简单,我就不写代码了。